キーボードのショートカットは共通のアクションとサイト内のナビゲーションに使用できます。

#数楽 "Taylorの定理の易しい証明法" 作成者:
@genkurokihttps://twitter.com/i/moments/851803349875703810 …

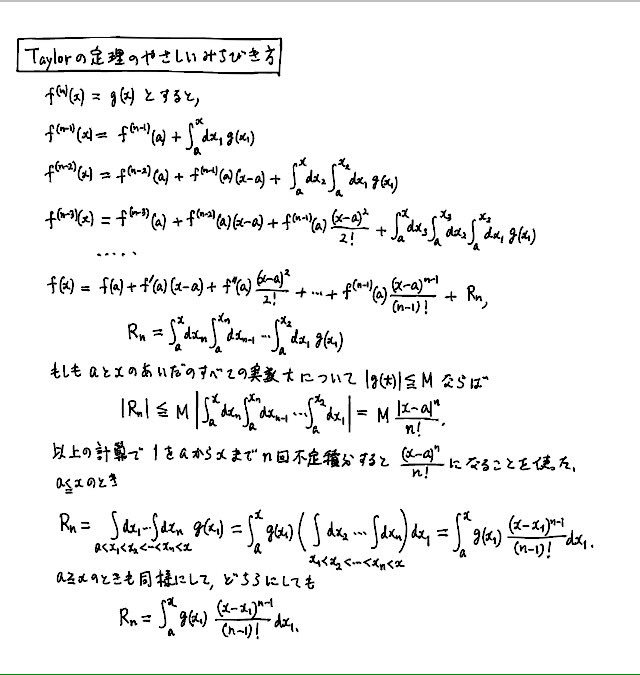
#数楽 Taylorの定理の証明をCauchyの平均値の定理を経由せずに直接Rolleの定理に帰着する方法は添付画像の通りです。英語でググるとそれなりに知られている方法のようです。pic.twitter.com/txB3uEIPqK
微分版平均値の定理の証明に使うロルの定理も真面目に証明しようとすると実数の連続性やら閉区間のコンパクト性などを準備しなければいけないので大変。その辺を健全な直観的議論で正当化する方針なら、積分もまた健全な直観的議論で導入しても問題ないと思います。そのやり方に続く。
1つ目の積分導入法は公理的な方法。閉区間上の連続函数は可積分で、積分は線形で、1のaからbまでの積分はb-aで、積分は区間の分割で和に分けられて、積分は単調性を持つ。この程度を仮定からC^1級のfについてf(x)=f(a)+∫_a^x f'(ξ)dξを厳密に証明できます。続く
積分とは何かに関する直観的な説明から、当然成り立つべき積分の性質をいくつか抽出すて、それらを仮定すれば、積分の構成法によらずに、微分と不定積分が逆の演算であることを数学的に厳密に示せます。応用にはこの程度の厳密性で十分だと思う。続く
より高位の厳密性のためには、欲しい性質を持つ積分を構成しなければいけない。区分求積法の直観的に健全な説明は受験勉強でやっているはずなのでそれで構成できているという立場でもよいし、がちっとリーマン積分をやってもよい。厳密にやると、やはり、ロルの定理の証明に使う道具立てが必要。続く
リーマン積分は中途半端かつ大げさに感じるなら、函数fに対して、[a_n,b_n]上で値c_nで他では0の函数Φ_n達で和ΣΦ_nがfに一様絶対収束するものをとって、∫f=Σc_n(b_n-a_n)で積分を構成する方法もあります。ラング『実解析』ではそうしてありました。
本当にきっちり厳密に証明をつけるには、実数の連続性と閉区間のコンパクト性が基本的な道具になって準備が大変になりす。直観的には明らかだと感じられる事柄を公理的に整理して認めて使っておき、後で真に厳密な証明に必要なことを補足すればよいと思います。微分を積分抜きで扱うのは不健全。
一様収束はsupノルムの意味での収束だと定義しておけばε-δも必須ではなくなります。一様絶対収束はsupノルムの意味での絶対収束のこと。
私が学生時代に読んだラングの本では、可能な限り早く1変数函数の積分を間に合わせで構成して、微分の話でも積極的に使うという方針でした。C^1級ではなく、微分可能性だけから積分を使わずに結果を証明しようとするのは、テクニカルな楽しさはありますが、数学的本質とは無関係のやり方です。

#数楽 資料追加。『ラング 現代の解析学』(共立出版1981)では微分法の最初の節が「1変数関数の積分」の構成です。階段函数の空間のsupノルムに関する閉包上に積分を定義するという間に合わせの方法で先に進むスタイル。資料1/2pic.twitter.com/1Ruars88AG

#数楽 資料2/2。階段函数に関する積分の定義の仕方は自明でその極限で一般の場合の積分を定義するという発想は自然だと思います。リーマン積分もルベーグ積分もそのヴァリエーション。ラングさんは積分を使わずに微分の話をするのは不自然だと考えたのだと思います。私もそうだと思います。pic.twitter.com/NanVzE4YWG
#数楽 『ラング 現代の解析学』は位相空間論、函数解析、測度空間における積分、超函数、微分形式などなどを含む、どちらかと言えば数学をがっちり勉強する人向けの厳密に書かれた教科書です。もっと易しい教科書でも微分法について語るときに積分も自由に使うものがあってもよいと思いました。
#数楽 あと理学部や工学部向けに積分の話をするときには「積分の定義の仕方によって物理的結論が変わるというようなことはない」というようなことも言っておかないと、リーマン積分とルベーグ積分で物理的結論が変わるかのような誤解をしてしまう人が出て来る不安があると思いました。続く
#数楽 続き。あと、f(x)=f(a)+∫_a^x f'(ξ) dξ の証明には積分の一般的な性質しか使っていない。階段函数の積分、積分の線形性、積分区間の分割、積分の単調性程度しか使わない。積分の定義・構成の仕方によらない結果であることは応用上大事なことだと思いました。
位置情報と一緒にツイートした場合、Twitterはその位置情報も保存します。 毎回ツイートする際に、位置情報を付加する/付加しないを選択することができ、いつでも過去の位置情報を全て削除することも可能です。 詳細はこちら